Инструменты для функциональной диагностики: Шкалы развития Мэррилл-Палмер

Начинаем серию обзорных публикаций о научно обоснованных инструментах для диагностики и оценки функциональных сфер при расстройствах аутистического спектра (РАС) и других нарушениях развития, позволяющих улучшить точность при постановке диагноза, уменьшить влияние субъективного мнения врача или другого специалиста при оценке состояния ребенка, а также подобрать и оценить эффективность выбранных методов вмешательств. Клинический психолог, член Ассоциации психиатров и психологов за научно обоснованную практику (АПсиП), член рабочей группы по разработке клинических рекомендаций «Расстройства аутистического спектра» (одобрены МЗ РФ в мае 2024 г.), младший научный сотрудник ФРЦ РАС МГППУ, эксперт Ассоциации «Аутизм-Регионы» Раиса Романова рассказывает об опыте применения Шкал развития Мэррилл-Палмер.
Современные диагностические классификации акцентируют необходимость углубленной диагностики, в особенности уровня интеллектуального развития, речи и адаптивного функционирования. Для определения уровня требуемой поддержки и разработки индивидуальных программ вмешательства крайне важно применять стандартизированные инструменты.
Одним из таких инструментов, отмеченных в Клинических рекомендациях «Расстройства аутистического спектра», являются Шкалы развития Мэррилл-Палмер (МПР)1. Данные шкалы применяются для комплексной оценки когнитивного, речевого, моторного, социально-эмоционального развития и навыков самообслуживания, а также для определения общего уровня развития ребенка.
В октябре 2025 года в рамках проекта «С инклюзией: от простого к сложному» было проведено тестирование функциональных навыков 22 дошкольников с ОВЗ, посещающих инклюзивный детский сад г. Москвы.
В рамках проекта были проведены:
- Основное тестирование: протоколы обследования «Когнитивная батарея», «Крупная моторика», «Экспрессивная речь», а также шкалы «Социально-эмоциональная сфера: шкала развития» и «Самообслуживание/адаптация».
- Дополнительное тестирование: бланки «Поведение во время обследования» и «Социально-эмоциональная сфера: темперамент».
Основное тестирование: Ключевые шкалы и их значение
Для основного тестирования применялись все ключевые протоколы и шкалы методики. Это позволило провести структурированный анализ функциональных сфер, каждая из которых вносит свой уникальный вклад в общую картину развития ребенка и напрямую указывает на мишени для коррекционно-развивающей работы.
- Индекс развития — объединенный показатель, включающий когнитивную сферу, мелкую моторику, рецептивную речь, память и скорость. Помогает принять решение о необходимости включения ребенка в специализированные образовательные программы.
- Когнитивная сфера — показатель, оценивающий текучий (решение новых задач) и кристаллизованный интеллект (применение накопленных знаний). Является наиболее приближенным показателем ко всем известному коэффициенту интеллекта (intelligence quotient, IQ).
- Мелкая моторика — показатель, оценивающий точные, дифференцированные движения пальцев и кистей. Является предиктором2 будущих академических успехов, так как лежит в основе письма и рисования.
- Рецептивная речь — показатель, оценивающий способность ребенка воспринимать, декодировать и осмысливать устную и зрительную информацию. Является фундаментом для выполнения инструкций, участия в беседе и академического обучения.
- Память — показатель, оценивающий различные вербальные и зрительные функции, которые определяют восприятие, обработку, хранение и извлечение информации при помощи механизмов кратковременной и долговременной памяти.
- Скорость обработки информации — показатель, оценивающий время реакции и скорость выполнения заданий, подразумевающих когнитивную обработку.
- Зрительно-моторная координация — показатель, оценивающий навык интеграции зрительного восприятия с точным двигательным ответом. Является основой для сборки конструктора, копирования фигур и т. п., а впоследствии — письма.
- Крупная моторика — показатель, оценивающий комплекс навыков, требующих координации и синхронной работы крупных мышц тела для выполнения таких движений, как ходьба, бег, прыжки, сохранение равновесия и пр.
- Экспрессивная речь — показатель, оценивающий совокупность навыков, связанных с вербальным и невербальным выражением мыслей, чувств и потребностей.
- Речь — объединенный показатель рецептивной и экспрессивной речи.
- Социально-эмоциональная сфера — показатель, оценивающий способности понимать свои и чужие эмоции, следовать социальным правилам, заводить друзей и т. п. Сложности в этой сфере являются главным фактором риска дезадаптации в коллективе.
- Адаптация и самообслуживание — показатель, оценивающий независимость ребенка в бытовых вопросах (одевание, гигиена, прием пищи) и гибкость поведения.
Анализ результатов диагностики позволил составить индивидуальные профили сильных и слабых сторон функционирования для каждого ребенка. Как можно было ожидать, по результатам тестирования у всех детей с ОВЗ наблюдаются сложности разной степени выраженности в различных сферах.
Так, например, можно четко наблюдать типичные профили для отдельных ранее диагностированных нозологий:
- В случае детей с диагнозами или подозрениями на расстройство аутистического спектра (РАС) наблюдаются выраженные нарушения в речи и социально-эмоциональной сфере (VVB1869, VVB7156), в нескольких случаях РАС наблюдается с коморбидными3 интеллектуальными нарушениями4 (VVB3013, VVB8893).
- В случаях задержек психического развития (ЗПР) наблюдаются разной степени выраженности нарушения в отдельных сферах в сочетании с нормативными показателями в других (например, показатели участников VVB3462, VVB3754, VVB7107, VVB7461, VVB8627, VVB9172), без значительного или критического снижения в когнитивной сфере. В отдельном случае (VVB9648) интерпретация результатов была осложнена мультилингвизмом — ребенок говорит в саду и дома с разными родителями на разных языках, что может снижать результаты по шкалам, связанным с речью, а также снижать результаты по другим шкалам из-за вербальных инструкций.
- В случаях нарушений речи (ТНР) наблюдаются значительно выраженные нарушения в шкалах, связанных с речью (VVB5309). При этом в отдельном случае по результатам тестирования есть сомнения в правильности установленного ранее диагноза (VVB6741).
- В отдельных, наиболее сложных случаях с редкими генетическими нарушениями, поражениями центральной нервной системы или серьезными черепно-мозговыми травмами наблюдается значительное снижение показателей во всех сферах (VVB2449, VVB8641, VVB9939).
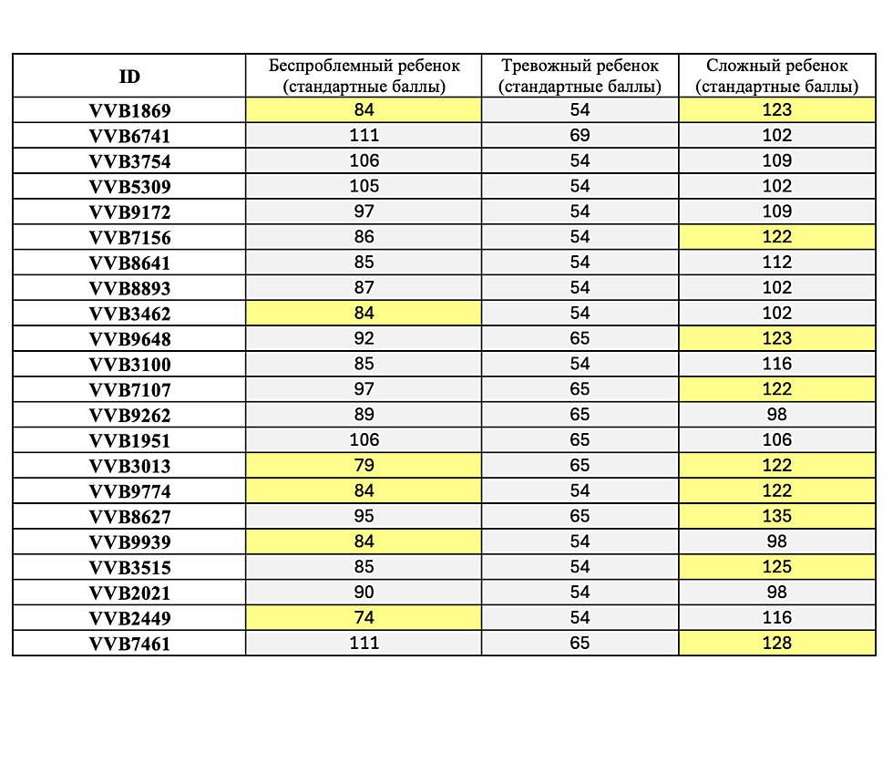
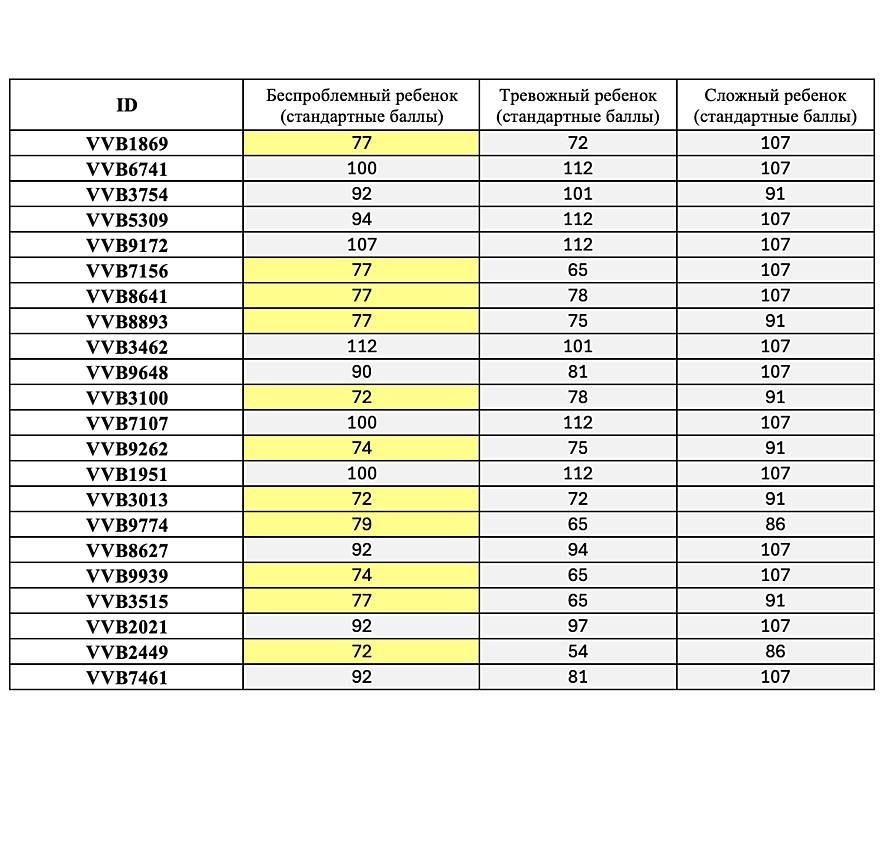
Важность контекста: темперамент и Поведение
Помимо основных шкал, в рамках проекта проводилась оценка поведенческого и эмоционального состояния ребенка в повседневной жизни и во время тестирования. Это позволило отделить истинные трудности от различных ситуационных факторов, которые могли исказить результаты.
Оценка поведения ребенка в повседневной жизни проводилась с помощью опросника «Социально-эмоциональная сфера: темперамент», который заполняет родитель. Это помогает понять, является ли поведение, наблюдаемое во время диагностики, закономерным для ребенка, а также полезно для выбора оптимального и подходящего ребенку стиля взаимодействия и места проведения обследования. Именно поэтому очень полезно собрать эту информацию до проведения самой методики.
Вторая, но не менее важная, шкала называется «Поведение во время тестирования». Она заполняется специалистом сразу после проведения методики и выявляет эмоциональные или поведенческие реакции, способные повлиять на валидность5 результатов. Так, низкие результаты по шкале «Беспроблемный ребенок» (<85 стандартных баллов) или высокие по шкалам «Тревожный ребенок» (>115 стандартных баллов) и «Сложный ребенок» (>115 стандартных баллов) сигнализируют о том, что во время проведения методики ребенок демонстрировал признаки низкой степени сотрудничества, низкой активности или внимания, был чрезмерно тревожен или эмоционален, а также, возможно, был настроен враждебно. В таком случае велика вероятность, что потенциал ребенка не был раскрыт полностью, и, конечно же, это требует корректировки в интерпретации полученных результатов. Анализ и учет этих показателей помогает избежать заниженной оценки и указывает на необходимость создания более комфортных условий при повторной диагностике для данного ребенка.
От диагностики к рекомендациям
На основе результатов тестирования для всех участников проекта были составлены заключения, в которых были описаны сильные и слабые стороны, а также подготовлены индивидуальные рекомендации. С ними были ознакомлены как родители, так и специалисты.
На основе этих данных были:
- Сформированы или скорректированы планы коррекционно-развивающей работы.
- Составлен график дальнейших занятий в рамках проекта.
Таким образом, Шкалы развития Мэррилл-Палмер (МПР) обладают широким спектром преимуществ. Помимо возможности оценки развития в самом раннем возрасте, эта методика позволяет одновременно проанализировать целый ряд функциональных показателей при относительно низких временных затратах и простоте интерпретации данных. Это делает ее незаменимым инструментом для построения точных и эффективных образовательных маршрутов для детей дошкольного возраста.
Проект «С инклюзией: от простого к сложному» направлен на создание равных возможностей для развития, социальной адаптации и обучения дошкольников с ОВЗ через организацию благоприятных социально-педагогических условий в среде их нормотипичных сверстников. Реализуется АНО «Аутизм-Регионы. Инклюзия» при поддержке Благотворительного фонда «Вклад в будущее».

















